A biomassza-dilemma: Az éghajlatváltozás mérséklése, a levegőminőség és egyéb környezeti hatások közötti szinergiák és kompromisszumok értékelése EU-szerte.
Az EU JRC (EU Közös Kutatási Központ), a Montecatini Terme és az Uni Systems kutatóinak, a Science Directben közölt új tanulmánya a dendromassza energetikai hasznosításának hatásait vizsgálta.
Bár az EU-szerte alkalmazott éghajlatváltozás-mérséklési stratégiák gyakran ösztönzik a fosszilis tüzelőanyagok felhasználásának csökkentése érdekében a fából nyert biomassza használatát a fűtés és az áramellátás területén, ennek tényleges előnyei nem egyértelműek.
A faalapú biomassza (energetikai) használata kockázatot jelenthet a levegőminőségre és az egészségre, különösen akkor, ha városokban kis léptékű fűtési rendszerekben alkalmazzák.
A szinergiák kihasználása és az éghajlatváltozás mérséklése, a levegőminőség és egyéb környezeti hatások közötti kompromisszumok elkerülése érdekében a döntéshozatalt integrált kvantitatív elemzésekkel kell alátámasztani.

Ez a tudományos értekezés egy újszerű életciklus-elemzési keretrendszert mutat be, amelynek segítségével kiszámítható a faalapú biomassza kis léptékű lakossági fűtési rendszerekben történő használatának potenciális környezeti hatása számos hatáskategória tekintetében.
Ez a cikk egy olyan életciklus-elemzési (LCA) keretrendszert mutat be, amely integrált módon értékeli a lakossági szektorban a fából nyert biomassza fűtési célú felhasználásával kapcsolatos éghajlatváltozási, részecskeszennyezési és egyéb környezeti hatásokat. A keretrendszer viszonylag egyszerű, ugyanakkor
átfogó és megbízható, és az EU-tagállamokra vonatkozó becsült biomassza-fogyasztási, származási és fűtési technológiák összetételére vonatkozó adatokon alapul, ami széles körű és következetes alkalmazást tesz lehetővé. A keretrendszer hozzájárulhat az épületek, a lakossági és a bio-gazdasági szektorokra alkalmazott jelenlegi LCA-alapú keretrendszerek javításához uniós, nemzeti és városi szinten.
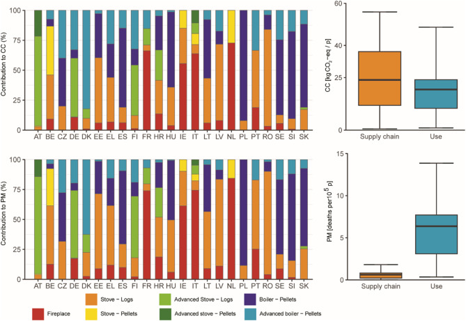
Ezen túlmenően a levegőminőségre vonatkozó kiegészítő elemzés rávilágít a biomassza-égetésből eredő egészségügyi hatások jelentős városok közötti eltéréseire, amelyeket az átlagos jellemző tényezőket alkalmazó LCA-keretrendszerek figyelmen kívül hagynak.

A keretrendszert a közigazgatási szervek és más szervezetek alkalmazhatják a különböző földrajzi és intézményi szinteken történő döntéshozatal alátámasztására. A keretrendszer 23 ország 87 városára történő alkalmazása releváns betekintést nyújt a lakossági szektorban a kis léptékű fűtéshez jelenleg
használt faalapú biomassza potenciális környezeti hatásaira, míg a forgatókönyv-elemzések bemutatják, hogyan használható a keretrendszer konkrét éghajlatváltozás- és légszennyezés-csökkentő intézkedések kidolgozásának és végrehajtásának értékelésére és támogatására.
A kutatások kimutatták, hogy a kis léptékű, szilárd faalapú biomassza-rendszerek továbbra is jelentős kockázatot jelentenek a levegőminőségre és a közegészségre az EU városaiban, miközben az
éghajlatváltozás szempontjából nyújtott előnyeik korlátozottak (és bizonytalanok); a fejlett, nagyobb hatékonyságú biomasszán alapuló rendszerek bizonyos mértékben csökkenthetik a levegőminőségi kompromisszumokat, de előnyeiket korlátozzák a további ellátási lánc követelményei és hatásai (pl. a pelletek feldolgozása); és (iii) a nagy léptékű termelő rendszerekből, például a távfűtésből származó, fán alapuló biomasszás fűtés nagyobb környezeti előnyöket kínál, mint a kis léptékű rendszerek.
Ezek az eredmények releváns politikai következményekkel járnak az EU-szerte működő helyi önkormányzatok számára: a városi tervezési és fejlesztési politikák kiemelt jelentőségűek a helyi éghajlat-politikai intézkedésekben (pl. az energiahatékonyságot előmozdító szabályozások és a távfűtési hálózatok tervezése), és a járulékos előnyök és kompromisszumok értékelése elengedhetetlen a fenntartható városfejlesztés biztosításához.

A helyi intézkedések hatékonysága és hatásai nagymértékben függnek azok megvalósításától függ, és számos kontextus-specifikus tényezőt kell figyelembe venni. Például az épületek csatlakoztatása a távfűtési hálózatokhoz az alacsony hatékonyságú egyéni fűtési rendszerek, például a kandallók helyettesítése érdekében környezeti előnyökkel járhat, de a faalapú biomassza (amelyet gyakran használnak a távfűtésben) iránti nagyméretű kereslet növelheti az ökoszisztémák egészségére és az erdői szén-dioxid-elnyelőkre nehezedő nyomást, amit értékelni kell.
Ezen felül a távfűtési hálózatok bővítése műszakilag nem feltétlenül kivitelezhető, és a biomasszán alapuló rendszerek hőszivattyúkkal való felváltásának költségei jelentősen korlátozhatják a végrehajtás mértékét (lassítva a cserélési arányokat). Ilyen esetekben előnyös lehet azok hatékonyabb kályhákra vagy kazánokra történő cseréje, de a terhek áthelyeződését gondosan fel kell mérni és kezelni kell. Ezen felül más szempontok, például a társadalmi méltányosság és a biológiai sokféleségre gyakorolt hatások figyelembevétele további fontos bizonyítékokat nyújthat a döntéshozatal alátámasztásához.
Összességében eredményeink rámutatnak arra, hogy kontextus-specifikus és integrált környezeti hatástanulmányokra van szükség az energia céljára használt faalapú biomasszával kapcsolatos döntések megalapozásához, különösen akkor, ha a faalapú energia fokozott felhasználása tovább súlyosbíthatja azokat a jelentős kihívásokat, amelyekkel az EU számos városa már jelenleg is szembesül a levegőminőség terén. A városoknak olyan eszközökre, adatokra és mutatókra van szükségük, amelyek támogatják az integrált, hatékony és szinergikus fellépést, amely hozzájárulhat az EU ambiciózus éghajlati céljainak és levegőminőségi szabványainak eléréséhez.

Keretrendszerünk további finomítása a biomasszával történő fűtésre vonatkozó kontextus-specifikus és helyi adatok (pl. technológiai összetétel, kibocsátási tényezők és ellátási adatok) integrálásával segíthetne a városoknak abban, hogy erőfeszítéseiket a klímasemlegesség elérése, a környezeti levegőminőség javítása és a közegészségügy javítása, valamint egyéb környezetvédelmi kérdések felé irányítsák.
forrás: ScienceDirect
